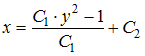
Уравнение кривой, радиус кривизны которой равен кубу нормали имеет вид …
• 
• 
• 
• 
Тема: Дифференциальные уравнения высших порядков, допускающие понижение порядка
Предмет: Математика