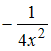
Производная второго порядка функции Изображение вопроса Производная второго порядка функции  имеет вид ... имеет вид …
• 
• 
• 
• 
Тема: Производные высших порядков
Предмет: Математика