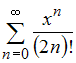
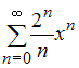
Ряд Маклорена для функции Изображение вопроса Ряд Маклорена для функции  имеет вид …... имеет вид …
• ,
• ,
• ,
• ,
Тема: Дифференциальные уравнения и ряды
Предмет: Математика