Пусть
– алгебраическая или трансцендентная функция:
1) определённая на отрезке
,
2) имеющая на отрезке
непрерывные производные
и
, сохраняющие знак на этом отрезке,
3) имеющая единственный корень
на отрезке
.
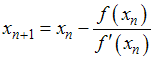
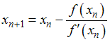
Этот корень необходимо найти приближённо, используя метод Ньютона (касательных).
Тогда выбор начального приближения
, вычисление приближений
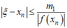
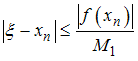
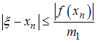
и оценка погрешности осуществляются соответственно по следующим формулам:
– алгебраическая или трансцендентная функция:1) определённая на отрезке
, 2) имеющая на отрезке
непрерывные производные
и
, сохраняющие знак на этом отрезке,3) имеющая единственный корень
на отрезке
.Этот корень необходимо найти приближённо, используя метод Ньютона (касательных).
Тогда выбор начального приближения
, вычисление приближений
и оценка погрешности осуществляются соответственно по следующим формулам:•
;
,
; 
;
,
; 
•
;
,
; 
;
,
; 
•
;
,
; 
;
,
; 
•
;
,
; 
;
,
; 