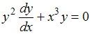
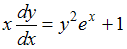
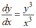
Из данных дифференциальных уравнений уравнениями c разделяющимися переменными являются …
• 
• 
• 
• 
Тема: Типы дифференциальных уравнений
Предмет: Математика