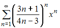
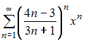
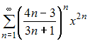
Радиус сходимости равен Изображение вопроса Радиус сходимости равен  для степенного ряда ̷... для степенного ряда …
• 
• 
• 
• 
Тема: Область сходимости степенного ряда
Предмет: Математика