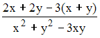
Частная производная Изображение вопроса Частная производная  функции  равна …... функции Изображение вопроса Частная производная  функции  равна …... равна …
• 
• 
• 
• 
Тема: Частные производные 1-го порядка
Предмет: Математика