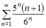
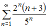
Расходящимся является числовой ряд …
• 
• 
• 
• 
Тема: Сходимость числовых рядов
Предмет: Математика