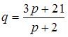
Дана функция предложения
, где
– цена товара. Если равновесный объем спроса-предложения равен
, то функция спроса
может иметь вид …
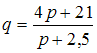
, где
– цена товара. Если равновесный объем спроса-предложения равен
, то функция спроса
может иметь вид …• 

• 

• 

• 
