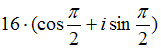
Степень комплексного числа Изображение вопроса Степень комплексного числа  равна …... равна …
• 
• 
• 
• 
Тема: Тригонометрическая форма комплексного числа
Предмет: Математика