В результате измерений некоторой физической величины одним прибором (без систематических ошибок) получены следующие результаты (в мм): 4,5; 5,5; 6,5. Тогда несмещенная оценка дисперсии равна …
• 0

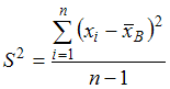
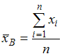
Несмещенная оценка дисперсии вычисляется по формуле:
, где  .

• 1
• 2

Несмещенная оценка дисперсии вычисляется по формуле:
, где  .

• 5,5

Вычислена несмещенная оценка математического ожидания.

Предмет: Математика