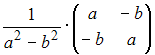
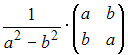
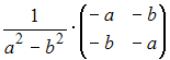
Дана матрица Изображение вопроса Дана матрица , где . Тогда обратная матрица  может..., где Изображение вопроса Дана матрица , где . Тогда обратная матрица  может.... Тогда обратная матрица Изображение вопроса Дана матрица , где . Тогда обратная матрица  может... может быть представлена в виде …
• 
• 
• 
• 
Тема: Обратная матрица
Предмет: Математика