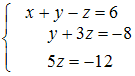
Систему линейных уравнений Изображение вопроса Систему линейных уравнений  можно привести к виду ... можно привести к виду …
• 
• 
• 
• 
Тема: Системы линейных уравнений
Предмет: Математика