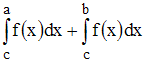
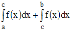
Если функция Изображение вопроса Если функция  непрерывна на отрезке  и , то интегр... непрерывна на отрезке Изображение вопроса Если функция  непрерывна на отрезке  и , то интегр... и Изображение вопроса Если функция  непрерывна на отрезке  и , то интегр..., то интеграл Изображение вопроса Если функция  непрерывна на отрезке  и , то интегр... можно представить в виде …
• 
• 
• 
• 
Тема: Свойства определенного интеграла
Предмет: Математика