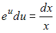
Дифференциальное уравнение
заменой
приводится к уравнению с разделенными переменными,
которое имеет вид …
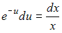
заменой
приводится к уравнению с разделенными переменными, которое имеет вид …
• 

• 

• 

• 

заменой
приводится к уравнению с разделенными переменными, 


