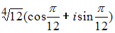
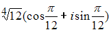
Если Изображение вопроса Если , то все значения квадратного корня из  равны..., то все значения квадратного корня из Изображение вопроса Если , то все значения квадратного корня из  равны... равны …
• ;
• ;
• ;
• ;
Тема: Возведение в степень и извлечение корня из комплексного числа
Предмет: Математика