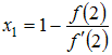
Уравнение
решается методом касательных (Ньютона). Один из корней принадлежит интервалу
. Тогда первое приближение
к точному корню
будет вычисляться по формуле …
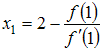
решается методом касательных (Ньютона). Один из корней принадлежит интервалу
. Тогда первое приближение
к точному корню
будет вычисляться по формуле …• 

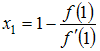
• 

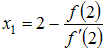
• 

• 
