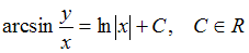
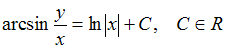
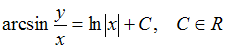
Общий интеграл дифференциального уравнения  Изображение вопроса Общий интеграл дифференциального уравнения  в обла...в области, в котором уравнение определено, имеет вид…
• 
• ,  
• ,  
• 
Тема: Однородные дифференциальные уравнения
Предмет: Математика