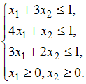
Матричная игра задана платежной матрицей
. Тогда соответствующая ей задача линейного программирования может иметь вид …
. Тогда соответствующая ей задача линейного программирования может иметь вид …• 



• 



• 



• 



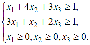
. Тогда соответствующая ей задача линейного программирования может иметь вид …






