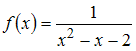
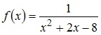
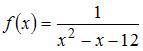
На отрезке Изображение вопроса На отрезке  непрерывна функция …... непрерывна функция …
• 
• 
• 
• 
Тема: Непрерывность функции, точки разрыва
Предмет: Математика