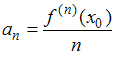
Коэффициенты ряда Тейлора вычисляются по формуле …
• 
• 
• 
• 
Тема: Ряд Тейлора (Маклорена)
Предмет: Математика