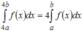
Функция
задана и непрерывна на всей числовой прямой,
и
– действительные числа. Тогда верно утверждение …
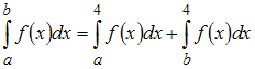
задана и непрерывна на всей числовой прямой,
и
– действительные числа. Тогда верно утверждение …• 

• 

• 

• 

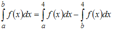
задана и непрерывна на всей числовой прямой,
и
– действительные числа. Тогда верно утверждение …


