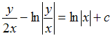
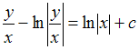
Общим решением однородного дифференциального уравнения Изображение вопроса Общим решением однородного дифференциального уравн...
является …
• 
• 
• 
• 
Тема: Однородные дифференциальные уравнения
Предмет: Математика