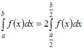
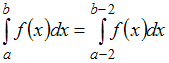
Функция Изображение вопроса Функция  задана и непрерывна на всей числовой прям... задана и непрерывна на всей числовой прямой, Изображение вопроса Функция  задана и непрерывна на всей числовой прям... и Изображение вопроса Функция  задана и непрерывна на всей числовой прям... – действительные числа. Тогда верно утверждение …
• 
• 
• 
• 
Тема: Интегральное исчисление
Предмет: Математика