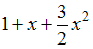
Первые три отличных от нуля члена разложения в степенной ряд решения задачи Коши Изображение вопроса Первые три отличных от нуля члена разложения в сте... имеют вид …
• 
• 
• 
• 
Тема: Решение дифференциальных уравнений с помощью рядов
Предмет: Математика