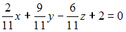
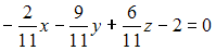
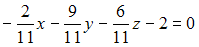
Дано общее уравнение плоскости Изображение вопроса Дано общее уравнение плоскости . Тогда нормальное .... Тогда нормальное уравнение этой плоскости имеет вид …
• 
• 
• 
• 
Тема: Взаимное расположение плоскостей и точек
Предмет: Математика