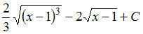
Множество первообразных функции Изображение вопроса Множество первообразных функции  имеет вид …... имеет вид …
• 
• 
• 
• 
Тема: Интегрирование иррациональных выражений
Предмет: Математика