Случайная величина X распределена по показательному закону с плотностью распределения вероятностей
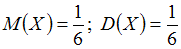
Тогда ее математическое ожидание и дисперсия равны …
Тогда ее математическое ожидание и дисперсия равны …• 

• 

• 

• 

Тогда ее математическое ожидание и дисперсия равны …


