Решение задачи Коши
Изображение вопроса Решение задачи Коши 
   
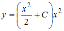
 имеет вид …... 
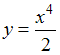
имеет вид …
• 
• 
• 
• 
Тема: Задача Коши для дифференциального уравнения первого порядка
Предмет: Математика