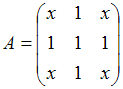
Обратная матрица существует, при Изображение вопроса Обратная матрица существует, при , для матрицы ..., для матрицы …
• 
• 
• 
• 
Тема: Обратная матрица
Предмет: Математика