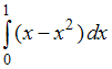
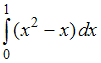
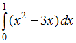
Площадь фигуры, ограниченной параболой Изображение вопроса Площадь фигуры, ограниченной параболой  и прямой :... и прямой Изображение вопроса Площадь фигуры, ограниченной параболой  и прямой :...:
Изображение вопроса Площадь фигуры, ограниченной параболой  и прямой :...
вычисляется с помощью интеграла …
• 
• 
• 
• 
Тема: Приложения определенного интеграла
Предмет: Математика