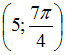
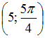
Полярные координаты точки, симметричной точке Изображение вопроса Полярные координаты точки, симметричной точке  отн... относительно полярной оси, равны …
• 
• 
• 
• 
Тема: Полярные координаты на плоскости
Предмет: Математика