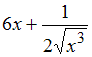
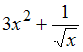
Производная второго порядка функции Изображение вопроса Производная второго порядка функции  равна …... равна …
• 
• 
• 
• 
Тема: Производная
Предмет: Математика