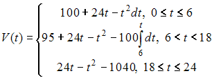
Кейс-задания: Кейс 1 подзадача 1
Для контроля уровня снега на горнолыжном склоне используются снегоуборочные машины. Изменение объема снега, выпадающего на склон в течение суток, можно описать уравнением
где
– объем снега (в
), выпавшего на склон за время t (в часах), 
Снегоуборочные машины работают в течение светлого времени суток с 6 до 18 часов
с постоянной скоростью уборки снега 95 
В момент времени
на склоне лежит 100
снега.
Пусть
– объем снега, лежащего на склоне в момент времени t, тогда математическая модель для нахождения
может иметь вид …
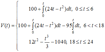
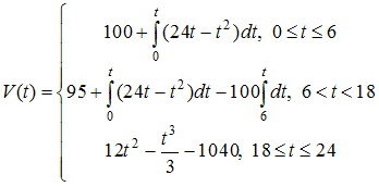
Для контроля уровня снега на горнолыжном склоне используются снегоуборочные машины. Изменение объема снега, выпадающего на склон в течение суток, можно описать уравнением
где
– объем снега (в
), выпавшего на склон за время t (в часах), 
Снегоуборочные машины работают в течение светлого времени суток с 6 до 18 часов
с постоянной скоростью уборки снега 95 
В момент времени
на склоне лежит 100
снега.Пусть
– объем снега, лежащего на склоне в момент времени t, тогда математическая модель для нахождения
может иметь вид …• 

• 

• 

• 
