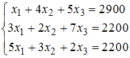
Предприятие производит изделия трех видов
и использует для этого сырье трех типов
Нормы затраты сырья на единицу продукции каждого вида и объем расхода за 1 день заданы таблицей:

Пусть ежедневный объем выпуска изделий
и
составляет
и
соответственно, тогда математическая модель для нахождения ежедневного выпуска каждого вида изделий может иметь вид …
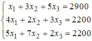
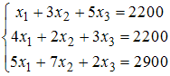
и использует для этого сырье трех типов
Нормы затраты сырья на единицу продукции каждого вида и объем расхода за 1 день заданы таблицей:
Пусть ежедневный объем выпуска изделий
и
составляет
и
соответственно, тогда математическая модель для нахождения ежедневного выпуска каждого вида изделий может иметь вид …• 

• 

• 

• 
