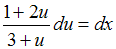
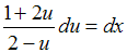
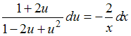
Дифференциальное уравнение Изображение вопроса Дифференциальное уравнение  заменой  приводится к ... заменой Изображение вопроса Дифференциальное уравнение  заменой  приводится к ... приводится к уравнению с разделенными переменными, которое имеет вид …
• 
• 
• 
• 
Тема: Дифференциальные уравнения первого порядка
Предмет: Математика