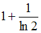
Уравнение
решается методом хорд. Корень принадлежит интервалу (1;2). Тогда первое приближение
к точному корню x* будет равно …
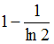
решается методом хорд. Корень принадлежит интервалу (1;2). Тогда первое приближение
к точному корню x* будет равно …• 

• 

• 

• 
