Дискретная случайная величина X задана законом распределения вероятностей:

Тогда ее математическое ожидание равно …

Тогда ее математическое ожидание равно …
• 6
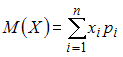
Математическое ожидание дискретной случайной величины вычисляется по формуле:
.
• 3,6
Совершена арифметическая ошибка при применении формулы
.
• 3,2
•
Математическое ожидание дискретной случайной величины вычисляется по формуле:
.