Дано дифференциальное уравнение
при
. Тогда первые три члена разложения его решения в степенной ряд имеют вид …
при
. Тогда первые три члена разложения его решения в степенной ряд имеют вид …• 

• 

• 

• 

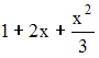
при
. Тогда первые три члена разложения его решения в степенной ряд имеют вид …


