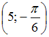
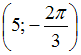
В полярной системе координат даны две точки Изображение вопроса В полярной системе координат даны две точки  и . Т... и Изображение вопроса В полярной системе координат даны две точки  и . Т.... Тогда полярные координаты середины отрезка Изображение вопроса В полярной системе координат даны две точки  и . Т... равны …
• 
• 
• 
• 
Тема: Полярные координаты на плоскости
Предмет: Математика