Дано дифференциальное уравнение
при
. Тогда первые три члены разложения его решения в степенной ряд имеют вид …
при
. Тогда первые три члены разложения его решения в степенной ряд имеют вид …• 

• 

• 

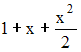
• 

при
. Тогда первые три члены разложения его решения в степенной ряд имеют вид …


