Композиция Изображение вопроса Композиция  отображений : 
 ,  
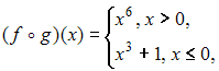
 имеет вид …... отображений Изображение вопроса Композиция  отображений : 
 ,  
 имеет вид …...:
Изображение вопроса Композиция  отображений : 
 ,  
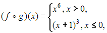
 имеет вид …..., Изображение вопроса Композиция  отображений : 
 ,  
 имеет вид …...
имеет вид …
• 
• 
• 
• 
Тема: Отображения
Предмет: Математика