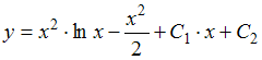
Общее решение дифференциального уравнения Изображение вопроса Общее решение дифференциального уравнения  имеет в... имеет вид …
• 
• 
• 
• 
Тема: Дифференциальные уравнения высших порядков, допускающие понижение порядка
Предмет: Математика