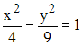
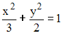
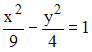
Каноническое уравнение эллипса, изображенного на рисунке,
Изображение вопроса Каноническое уравнение эллипса, изображенного на р...
имеет вид …
• 
• 
• 
• 
Тема: Кривые второго порядка
Предмет: Математика