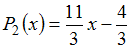
Интерполяционный многочлен Лагранжа второй степени Изображение вопроса Интерполяционный многочлен Лагранжа второй степени..., составленный по таблице значений функции Изображение вопроса Интерполяционный многочлен Лагранжа второй степени...
Изображение вопроса Интерполяционный многочлен Лагранжа второй степени...
имеет вид …
• 
• 
• 
• 
Тема: Интерполирование функций: интерполяционные полиномы Лагранжа
Предмет: Математика