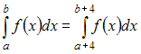
Функция
задана и непрерывна на всей числовой прямой, a и b – действительные числа. Тогда верно утверждение …
задана и непрерывна на всей числовой прямой, a и b – действительные числа. Тогда верно утверждение …• 

• 

• 

• 

задана и непрерывна на всей числовой прямой, a и b – действительные числа. Тогда верно утверждение …


