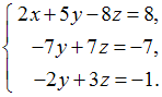
Если для системы уравнений
Изображение вопроса Если для системы уравнений  
  
 реализовать прямо...
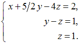
реализовать прямой ход метода Гаусса, то в итоге получится система уравнений …
• 
• 
• 
• 
Тема: Численные методы решения систем линейных алгебраических уравнений
Предмет: Математика