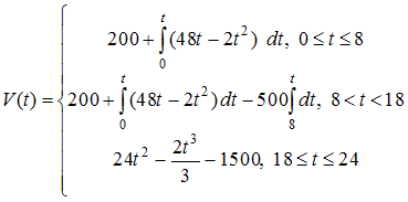
Кейс-задания: Кейс 1 подзадача 1
Для уборки снега на улицах города используются снегоуборочные машины. Они работают в течение светлого времени суток с 8 до 18 часов
с постоянной скоростью уборки снега 200 
Изменение объема снега, выпадающего на улицы города в городе в течение суток, можно описать уравнением
где
– объем снега (в
), выпавшего за время t (в часах), 
В момент времени
на улицах города лежит 500
снега.
Пусть
– объем снега, лежащего на улицах города в момент времени t, тогда математическая модель для нахождения
может иметь вид …
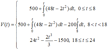
Для уборки снега на улицах города используются снегоуборочные машины. Они работают в течение светлого времени суток с 8 до 18 часов
с постоянной скоростью уборки снега 200 
Изменение объема снега, выпадающего на улицы города в городе в течение суток, можно описать уравнением
где
– объем снега (в
), выпавшего за время t (в часах), 
В момент времени
на улицах города лежит 500
снега.Пусть
– объем снега, лежащего на улицах города в момент времени t, тогда математическая модель для нахождения
может иметь вид …• 

• 

• 

• 
