Математика (школьный курс) – страница 4
Брокерская контора купила два пакета акций. За первый пакет было заплачено в два раза больше денег, чем за второй. При продаже конторой этих пакетов была получена прибыль. За первый пакет 5%, а за второй 8%.
Какой процент прибыли получила контора от реализации обоих пакетов?
Какой процент прибыли получила контора от реализации обоих пакетов?
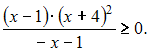
Решите уравнение
и запишите наименьший положительный корень.
и запишите наименьший положительный корень.Найдите количество значений параметра b, при которых уравнение
имеет три различных корня.
имеет три различных корня.Укажите наименьшее целое положительное значение b, при котором уравнение
имеет единственное решение.
имеет единственное решение.11 
На рисунке изображён ангар, передняя и задняя стены которого имеют форму полукруга. Поверхность ангара требуется покрыть краской с наружной и внутренней сторон. Дверной проём красить не надо. Определите площадь поверхности, которую необходимо покрасить. Число π считать равным 3. Толщиной стен в ангаре пренебречь.

На рисунке изображён ангар, передняя и задняя стены которого имеют форму полукруга. Поверхность ангара требуется покрыть краской с наружной и внутренней сторон. Дверной проём красить не надо. Определите площадь поверхности, которую необходимо покрасить. Число π считать равным 3. Толщиной стен в ангаре пренебречь.
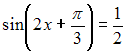
Один из корней уравнения
равен 3. Найдите его второй корень.
равен 3. Найдите его второй корень.Найдите количество грузовых машин, необходимых для вывоза грунта из траншеи, изображённой на рисунке, если в одну грузовую машину вмещается 4,5 кубометра грунта.


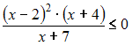
Один из корней уравнения
в два раза больше другого. Найдите его больший корень.
в два раза больше другого. Найдите его больший корень.Вложив некоторую сумму денег в бизнес, предприниматель получил в первый год 20% прибыли и оставил все деньги для развития дела. За второй год прибыль составила 40%. Определите, сколько процентов прибыли от вложенных денег получил предприниматель за два года.
.
.
.
.
.
.
, если
.
при
.
на промежутке
.