Математика и информатика – страница 63

1 «Спартак» – чемпион!
Если каждый символ кодируется одним байтом, то информационный объем данного предложения равен…




Известно, что два ненулевых вектора Изображение вопроса Известно, что два ненулевых вектора  и  образуют у... и Изображение вопроса Известно, что два ненулевых вектора  и  образуют у... образуют угол, равный Изображение вопроса Известно, что два ненулевых вектора  и  образуют у.... Тогда  скалярное произведение этих векторов не может быть равно…



Количественный признак Изображение вопроса Количественный признак  генеральной совокупности р... генеральной совокупности распределен нормально и имеет среднее квадратичное отклонение  Изображение вопроса Количественный признак  генеральной совокупности р.... Из генеральной совокупности извлечена выборка объемом Изображение вопроса Количественный признак  генеральной совокупности р.... Точность доверительного  интервала  с надежностью Изображение вопроса Количественный признак  генеральной совокупности р... (с соответствующим аргументом функции Лапласа Изображение вопроса Количественный признак  генеральной совокупности р...) для оценки неизвестного математического ожидания количественного признака Изображение вопроса Количественный признак  генеральной совокупности р... равна  …

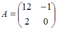
Заданы матрицы Изображение вопроса Заданы матрицы и . 
 Матрица  будет иметь вид R...и Изображение вопроса Заданы матрицы и . 
 Матрица  будет иметь вид R....
Матрица Изображение вопроса Заданы матрицы и . 
 Матрица  будет иметь вид R... будет иметь вид …


Имущественное право на программу для ЭВМ, созданную студентом в ходе выполнения дипломной работы, если не заключено специальное соглашение, принадлежит…

Результат сложения чисел 5B16  и 112 в двоичной системе счисления равен…

Исходом, благоприятствующим событию «выпало нечетное число очков» при подбрасывании игрального кубика, является цифра…

Прямая Изображение вопроса Прямая  проходит через точки…... проходит через точки…